Materi Fisika kelas X Semester II
Gerak harmonik sederhana (GHS) didefinisikan
sebagai gerak bolak-balik alamiah secara beraturan melewati titik keseimbangan.
Dalam kehidupan sehari-hari gerak harmonik sederhana sering disebut dengan
istilah getaran harmnik. Getaran
harmonik yang dialami oleh suatu benda terjadi karena adanya gaya pemulih (restoring force) yang bekerja pada
tersebut, yang besarnya sebanding dengan besarnya simpangan getaran dan arahnya
selalu menuju titik seimbang.
Besaran – besaran pada
Getaran Harmonik
1. Frekuensi dan Periode
Getaran
Frekuensi (f) adalah banyaknya getaran yang terjadi dalam setiap satu detik.
Secara matematis dirumuskan:
Periode (T) adalah waktu yang diperlukan oleh suatu benda untuk bergetar
satu kali getaran. Secara matematis dirumuskan:
f :
frekuensi getaran (Hz)
T :
periode getaran (s)
N : banyaknya getaran
t : waktu
getaran (s)
2. Simpangan Getaran
Simpangan getaran didefinisikan sebagai jarak
yang ditempuh benda selama bergetar diukur dari titik seimbang.
Dari gambar di atas, besarnya simpangan (y) dirumuskan:
Dari gambar di atas, besarnya simpangan (y) dirumuskan:
y :
simpangan getaran (m)
A : simpangan maksimum (Amplitudo) (m)
: sudut fase getaran (radian)
: frekuensi sudut (rad/s
Besarnya sudut fase dirumuskan:
Frekuensi sudut getaran dirumuskan:
3. Kecepatan Getaran (v)
Kecepatan getaran merupakan turunan (diferensial) pertama dari simpangan kegataran, yang dirumuskan:
4. Percepatan Getaran (a)
Percepatan getaran merupakan turunan (diferensial) kedua dari simpangan, atau diferensial pertama dari kecepatan getaran, yang dirumuskan:
5. Fase dan Beda Fase Getaran
Fase getaran dirumuskan:
Beda fase getaran:
Beda sudut fase getaran:
6. Energi Potensial Getaran
Energi potensial getaran harmonis dirumuskan:
Energi potensial maksimum terjadi saat benda berada di simpangan maksimum
7. Energi Kinetik Getaran
Energi kinetik getaran harmonis dirumuskan:
Energi kinetik maksimum terjadi saat benda bergerak melewati titik seimbang
8. Energi Total Getaran
Energi total (Mekanik) getaran harmonis dirumuskan:
Getaran Harmonik Pada Pegas
Gaya Pemulih Pada Pegas
Frekuensi Sudut Getaran Pegas
Frekuensi Getaran pada Pegas
Periode Getaran pada Pegas
Getaran Harmonik Pada Bandul Matematis
Gaya Pemulih Pada Bandul
Frekuensi Sudut Getaran Bandul
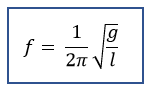
Frekuensi Getaran pada Bandul
Periode Getaran pada Bandul
A : simpangan maksimum (Amplitudo) (m)
Besarnya sudut fase dirumuskan:
Frekuensi sudut getaran dirumuskan:
3. Kecepatan Getaran (v)
Kecepatan getaran merupakan turunan (diferensial) pertama dari simpangan kegataran, yang dirumuskan:
4. Percepatan Getaran (a)
Percepatan getaran merupakan turunan (diferensial) kedua dari simpangan, atau diferensial pertama dari kecepatan getaran, yang dirumuskan:
5. Fase dan Beda Fase Getaran
Fase getaran dirumuskan:
Beda fase getaran:
Beda sudut fase getaran:
6. Energi Potensial Getaran
Energi potensial getaran harmonis dirumuskan:
Energi potensial maksimum terjadi saat benda berada di simpangan maksimum
7. Energi Kinetik Getaran
Energi kinetik getaran harmonis dirumuskan:
Energi kinetik maksimum terjadi saat benda bergerak melewati titik seimbang
8. Energi Total Getaran
Energi total (Mekanik) getaran harmonis dirumuskan:
Getaran Harmonik Pada Pegas
Gaya Pemulih Pada Pegas
Frekuensi Sudut Getaran Pegas
Periode Getaran pada Pegas
Getaran Harmonik Pada Bandul Matematis
Gaya Pemulih Pada Bandul
Frekuensi Sudut Getaran Bandul
Frekuensi Getaran pada Bandul
Periode Getaran pada Bandul
Untuk lebih lengkapnya bahan ajar Fisika tentang Gerak Harmonik Sederhana (GHS) disertai contoh soal dan pembahasan serta soal-soal latihan, filenya dapat didownload di bawah ini:
Semoga bahan ajar ini bermanfaat dalam pembelajaran Fisika di Sekolah.
Teruslah semangat belajar Fisika, karena Fisika itu Mudah dan Asik.
Teruslah semangat belajar Fisika, karena Fisika itu Mudah dan Asik.




























No comments:
Post a Comment